Fundado em 11/10/2001
porto velho, segunda-feira 27 de abril de 2026

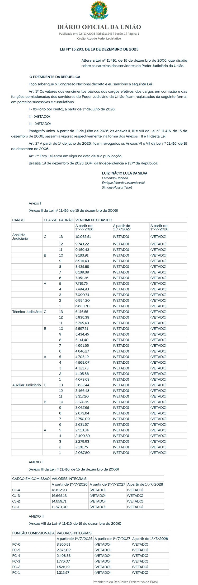
BRASIL - O presidente da República, Luiz Inácio Lula da Silva, sancionou com vetos a lei que trata do reajuste remuneratório dos servidores do Poder Judiciário da União. A norma, lei 15.293/25, foi publicada no Diário Oficial da União desta segunda-feira, 22, e assegura apenas um reajuste de 8% a partir de 1º de julho de 2026.
O projeto original, encaminhado pelo STF e aprovado pelo Congresso Nacional, previa aumentos sucessivos e cumulativos de 8% nos anos de 2026, 2027 e 2028.
No entanto, o chefe do Executivo vetou as parcelas posteriores, sob o argumento de que a criação de despesas a serem executadas após o término do mandato presidencial viola a vedação contida no art. 21 da lei de responsabilidade fiscal.
Com os vetos, permanece válida somente a recomposição salarial prevista para 2026. As correções programadas para os dois anos seguintes foram excluídas do texto final da lei.
A norma sancionada determina, ainda, a atualização das tabelas de vencimento básico dos cargos efetivos do Judiciário da União.
A partir de julho de 2026, passam a vigorar os novos valores constantes dos Anexos II, III e VIII da lei 11.416/06, que tratam das carreiras de Analista Judiciário, Técnico Judiciário e Auxiliar Judiciário, além dos cargos em comissão e das funções comissionadas.
Confira:
